
不銹鋼氮碳共滲工藝的生產操作如下:
1.不銹鋼的氣體氮碳共滲操作
(1)氣體氮碳共滲設備。氣體氮碳共滲設備一般采用有嚴格密封條件的井式爐或多用箱式爐,并保證爐內氣氛的良好循環。
設備應有可靠的控溫、測溫系統。爐內溫度要均勻,要符合GB/T 9452《熱處理爐有效加熱區測定方法》的規定,爐溫差不大于±10℃。
設備應配備相應的滲劑供給系統,以保證穩定可控的滲劑供給量。
(2)滲劑。應選用符合標準的,含有氮、碳原子的有機化合物或符合標準的氨氣及輔助氣體。
無論采用何種類型共滲介質,都應合理配比,控制供給速度,保證為工件提供符合要求的活性氮原子和碳原子。
(3)氣體共滲零件的預先處理。不銹鋼零件氣體氮碳共滲前應進行預先處理,處理方法參見本章第一節不銹鋼氣體滲氮零件的預先處理的有關內容。
(4)共滲前的生產準備。共滲前的生產準備參見本章第一節不銹鋼氣體滲氮的生產準備。
(5)氣體氮碳共滲操作要點。
①空爐升溫到工藝要求的溫度后,保持1~1.5h,使爐溫均勻。裝入已準備好的工件、蓋好爐蓋,檢查密封狀況,繼續升溫通入介質并迅速排除爐內空氣。
②爐溫升到工藝規定的溫度且已排出爐內空氣后開始計算保溫時間,進入正常共滲程序。爐溫、保持時間、介質加入量都應嚴格按工藝要求執行。
③到規定的保溫時間后,工件出爐,或空冷或油冷。工件油冷比空冷變形大,但可大大提高工件的疲勞極限。
對于變形量有特殊要求的精密零件,可以在爐內冷卻,此時,爐內應適當通入介質,以形成爐內的保護性氣氛。
(6)氣體氮碳共滲件質量檢查。不銹鋼零件氣體氮碳共滲的質量檢查可參照本章第一節氣體滲氮件質量檢查的相關內容。
2.不銹鋼的液體氮碳共滲操作
(1)液體氮碳共滲設備。液體氮碳共滲設備一般采用帶有不銹鋼坩堝的井式電爐。坩堝內鹽浴溫度波動范圍不應大于±10℃。
液體氮碳共滲爐應配備有抽風裝置,能有效地將熔鹽產生的廢氣排出室外。
除共滲爐外,應有配套的預熱爐,將清洗后的工件經過預熱,再裝入共滲爐,以防止工件入爐降低鹽浴溫度。預熱溫度一般為150~300℃。
還應配備熱油浴爐,可控制油溫在100~120℃之間。油浴爐既可作為共滲工件的冷卻,也可作為零件共滲清洗烘干后的浸油處理,以提高工件的表面質量。
對于有更高質量要求的零件,共滲后可在350℃左右的氧化浴中冷卻,為此,應設置氧化浴爐。氧化浴爐的條件類似于共滲爐。
(2)液體氮碳共滲介質。由于毒性較大,直接使用NaCN和KCN已被限制,目前,多數熱處理廠或者使用由專業生產廠生產的成品基鹽和調整鹽,或者使用以尿素、碳酸鹽為主的混合鹽。
①成品基鹽、調整鹽(再生鹽)。這里的基鹽、調整鹽指由專業生產廠將尿素、碳酸鹽為主的混合物經熔化后再冷卻而獲得的固體塊狀或顆粒狀成品物,而不是只將幾種原料機械混合供貨的混合物。
a.基鹽的主要成分為
CNO-: 38%~41%
CN-:<0.1%

其余為以Na+、K+為主的金屬離子。
熔點為410~430℃,熔融態比重約為1.75g/cm3。
調整鹽則是比基鹽的CNO-含量更高的物料,主要用于補充、調整已經使用過而且CNO-含量下降到工藝要求下限的鹽浴,使鹽浴中CNO-的含量恢復到工藝規定的范圍。
b.基鹽的熔化。首次熔鹽時,將基鹽放入坩堝內,放入量可控制在坩堝容量的1/3~1/2,將坩堝控制溫度設定在(520±10)℃的范圍,待坩堝內基鹽全部熔化后,再緩慢放入其余基鹽(添加的基鹽不可太潮濕和太涼,以防迸濺),直到預定量的基鹽全部熔化,調整鹽浴溫度達到工藝要求的溫度,并在此溫度空載運行約4h后方可投入生產。
此時熔鹽浴的CNO-濃度為37%~40%。
c.鹽浴的調整。當鹽浴工作一定時間后,由于[N]、[C]的消耗,鹽浴中的CNO-降低,
升高,當CNO-低于規定值時,氮碳共滲效果減弱,滿足不了要求,而且,
的升高不但降低了鹽浴的流動性,還會使滲層表面產生疏松。所以,當鹽浴中CNO-接近工藝規定的下限時,應用調整鹽對鹽浴進行調整。
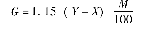
添加的調整鹽重量可按下面的經驗公式計算

式中: G為需添加的調整鹽重量,kg;
Y為預定調整后的鹽浴中CNO-百分數;
X為調整前鹽浴中CNO-百分數;
M為鹽浴重量,k g;
(鹽浴比重約為1.75g/cm3)
例如,坩堝內徑50cm,熔鹽深度80cm,則此時熔鹽重量為

調整前鹽浴中的CNO-=33%,即X=33
設定調整后鹽浴中的CNO-=36%,即Y=36

如果鹽浴中的CN-升高了,為降低CN-,可通入壓縮空氣,使CN-加速氧化而降低。當然,這時鹽浴中的CNO-含量也有升高的變化。
根據經驗,
可不化驗,因為一般情況下,CNO-%+
②混合鹽。氮碳共滲用混合鹽指熱處理廠自行采購符合標準
的尿素、碳酸鹽及其他輔助用料,按比例混合的混合物料。也有的材料廠將按比例混合好的基鹽、調整鹽未經熔化而提供給熱處理廠,熱處理廠放入爐內熔化后使用。
目前,自行配制的氮碳共滲混合鹽配方較多,這里介紹其中一種。
a.配方為
(NH2)2?CO(尿素)∶Na2?CO3∶KCl∶KOH= 45∶35∶10∶10
上述配方中,(NH2)2?CO和Na2?CO3為主原料,二者通過加熱引起化學反應,生成NaCNO,熔化時(NH2)2?CO比Na2?CO3損失大一些,前者所占比例比二者平衡反應需占比例偏大。配方中的KCl和KOH作為輔助用料加入,可提高鹽浴的流動性和穩定性,也對共滲層質量產生積極的影響。
b.混合鹽的熔化。將按比例混合好的鹽加入坩堝,占坩堝深度的3/4左右,通電升溫,可定溫度在480~500℃,待鹽逐漸熔化變成液體,鹽面下沉時,再逐漸添加其余鹽,力求保持原鹽面高度,直至預定鹽全部熔化成液體,將溫度調至540~560℃保持4h后,再放工件開始工作。
這種混合散裝鹽的熔化比成品鹽的熔化更麻煩,熔化過程中有大量的廢氣產生,對周圍環境及操作者帶來不利的影響,另外,散裝混合鹽熔化時損失大、利用率低。
c.鹽浴的調整。這種鹽浴的調整相對于成品鹽鹽浴調整比較困難。
由于共滲零件時消耗了大量的[N]和[C],使鹽浴中的CNO-降低、CO2-升高。CN-升高,鹽浴的流動性變差,所以,3調整鹽浴的目的就是提高CNO-的含量,降低CO2-的含量,使3其恢復到工藝要求的范圍。所以,這種鹽浴的調整主要是添加(NH2)2CO,使其參加與鹽浴中的Na2?CO3進行反應,達到調整鹽浴成分的目的。添加尿素的重量,可以參照成品調整鹽的計算公式,但需將系數1.15變為3。
用尿素調整鹽浴時要緩慢加入,且攪拌鹽浴,以保證添加的尿素能充分發揮作用,減少損失。
為保持鹽浴的流動性和穩定性,也應適當添加KCl和KOH。
調整鹽浴時,可降低鹽浴的溫度(500~520℃),待添加物全部熔化后,再升到工藝要求的溫度。
(3)液體氮碳共滲工件的預先處理。參見本章第一節不銹鋼氣體滲氮零件預先處理的有關內容。
(4)共滲前的生產準備。每爐應配備檢查試塊,試塊應與工件同材質并經過相同的工藝程序,表面粗糙度不大于R?a0.4μm。
待滲工件表面不得有脫碳層、銹斑、劃痕、尖角、銳邊,表面最好經過加工。
工件共滲面共滲后原則上不允許磨削,必需磨削時,磨削量不應大于0.05mm。
共滲工件應選擇合適的工裝,細長件應吊掛。
裝爐前應認真檢查設備及控制裝置,保證其完好。
(5)液體氮碳共滲工藝及操作要點。
液體氮碳共滲的主要工藝流程是:工件清理——裝卡——預熱——共滲處理——冷卻——清洗——烘干——浸油。
①工件清理。去除工件表面銹痕、油污,保證工件表面清潔。
②裝卡。依據工件形狀選擇卡(掛)具,保證工件待滲面不互相接觸,工件擺放均勻。
③預熱。工件入共滲爐前,應經300~350℃溫度預熱,保持時間不少于30min。
④共滲。預熱后的工件裝入熔鹽浴爐內,應保證工件浸入鹽浴中,工件之間保留空隙,工件裝入量一般控制在鹽浴重量的30%~40%。
鹽浴成分中,CNO-的控制應根據共滲目的調整選擇:以提高減摩、抗咬死性能為主要目的時,CNO-最好控制在36%~40%之間;以抗磨損、提高耐磨性為主要目的時,CNO-最好控制在32%~36%之間。通常,CNO-控制在34%~38%之間,各種性能均有較好的效果。
CNO-含量不足會使滲層深度不夠、硬度不足; CNO-含量過高,可能引起滲層表面質量不良,產生疏松。
共滲溫度:氮碳共滲在530~580℃溫度之間都可進行,在實際生產時,根據材料種類、工件使用功能等因素確定,不銹鋼液體氮碳共滲可選用560~570℃。共滲溫度太低,共滲層深度偏淺,硬度偏低;溫度太高,表面可能產生疏松,溫度超過600℃,有可能因CN-升高、CNO-下降使鹽浴報廢。
共滲時間:隨著共滲保溫時間的加長,滲層深度增加,超過3h后,化合物層深度增加緩慢,而擴散層深度則呈直線上升。共滲保溫時間還對滲層硬度產生影響,有試驗表明,共滲保溫時間超過3h,滲層表面硬度有下降的趨勢,且滲層硬度峰值隨時間的加長內移,說明共滲時間過長會引起表面化合物外層產生疏松。所以,不銹鋼氮碳共滲保溫時間應依據材料及工件的大小,控制在60~180min。
⑤冷卻。工件共滲完成后,出爐冷卻可采用空冷、油冷、水冷或氧化浴分級冷卻。
空冷可保證工件有最小的冷卻變形。細長件、薄刃具件、易變形件常采用空冷。但空冷時表面易現花斑痕,且表面清理較困難。
油冷、水冷可使工件表面潔凈,在一定程度上提高了表面的抗疲勞性能,但易引起冷卻變形。
氧化鹽浴分級冷卻可使工件表面生成Fe3?O4薄膜,并將從共滲爐內帶出的微量氰鹽氧化成無毒物,便于排放,同時也可徹底去除附著在工件表面的氰化物。
共滲后采用氧化鹽浴冷卻也是下面談到的QPQ處理的必須工序過程。
⑥清洗。冷卻后的共滲件應先用熱水煮沸清洗,再用自來水沖洗,以去掉工件表面的殘鹽和微量氰化物。
⑦烘干。清洗后的工件最好在100~200℃溫度下緩慢烘干。
⑧浸油。烘干后的工件在熱機油中浸泡10~15min,以保證工件表面光亮。
(6)液體氮碳共滲質量檢查。
①外觀。共滲并清洗后的工件呈深灰或灰黑色(不銹鋼或鑄鐵件),盲孔、狹縫處不得滯有殘鹽,工作面不得有碰傷、劃痕。
②硬度。表面硬度用低負荷維氏硬度計檢測,負荷量可采用1kg或5kg。檢測硬度應達到技術要求,并注明采用負荷值,如HV1或HV5等。
③共滲層深度。化合物層及擴散層深度的測量采用有關標準推薦的腐蝕劑和測量方法。
一般用金相法測量到針狀氮化物終了處即為擴散層。碳鋼件檢查時可將試塊在300℃保溫2h后測量。
也可采用斷面硬度法,即由試樣表面向心部測量顯微硬度(負荷100g)。由表面測至顯微硬度比心部,即基體硬度高30~50HV處為滲層部深度。
④滲層脆性(滲層致密度)。共滲層脆性可參照滲氮脆性檢驗方法和標準GB/T 11354《鋼鐵零件共滲層深度測定和金相組織檢驗》。
三、不銹鋼的液體硫氮碳共滲
硫氮碳共滲實際上就是在氮碳共滲鹽中加入硫元素,工件表面在滲入氮、碳的同時滲入硫的工藝過程。目前,在專業廠提供的作為硫氮碳共滲的鹽中,已含有不小于1.5×10-3%~2×10-3%的S2-。
1.液體硫氮碳共滲層組織及效果
在共滲過程中,以硫、氮為主滲入元素,所以,工件經硫氮碳共滲后,在最表面層有不大于10μm的FeS密集層,次表面層為含有FeS、Fe2(NC)、Fe3(NC)及Fe4?N的共滲層,再向里為以氮為主的擴散層。碳只能以碳化物的形式(如Fe3?C)存在于表面化合物層中。
由于工件共滲層最外層有FeS存在,大大降低了工件表面的摩擦系數,從而提高了抗咬合和抗黏著性能。在Falex摩擦試驗機上進行的試驗結果表明,ZGCr28鐵素體不銹鋼經硫氮碳共滲后的抗擦傷負荷比不處理者高6倍,比離子滲氮者高41%。1Cr18Ni12Mo2Ti奧氏體不銹鋼經硫氮碳共滲后的抗擦傷負荷比未處理者提高2倍以上。
不銹鋼硫氮碳工藝及效果參見表7-10。
2.液體硫氮碳共滲生產的相關問題
液體硫氮碳共滲的工藝操作、生產安全注意事項、共滲可能產生的缺陷及預防措施等問題參見液體氮碳共滲的相關內容及表7-9。
另外,需要說明以下一些問題。
(1)共滲鹽浴中S2-的補充。在生產廠家提供的成品鹽中,已含有不小于1.5×10-3%~2×10-3%的S2-,但在使用中,S2-會消耗,使含量降低,所以,應適時進行補充。在生產現場對S2-的化驗比較困難,S2-的補充可依據經驗進行。在正常使用情況下,每24h,按每100kg熔鹽添加2~4g的K2?S。
(2) S2-含量的控制。根據處理工件使用的主要功能來考慮S2-的含量控制。
工件以提高減摩性能,提高抗擦傷、抗咬合性能為主時,鹽浴中的S2-含量可控制為大于2×10-3%;以提高耐磨、抗疲勞性能為主時,鹽浴中的S2-含量控制在0.5×10-3%~1.5×10-3%即可。
(3) K S在鹽浴中有降低CN-的作用。在硫氮碳共滲鹽浴2中,K2?S的存在還會發生以下化學反應

通過這些化學反應,可使鹽浴中有毒的CN-下降。有研究表明:由于K S的作用,可使共滲鹽浴中的CN-的含量從2?2.5%~3.0%下降至0.1%~0.8%。
四、不銹鋼的QPQ處理
QPQ是Quench Polish Quench的縮寫,其原始完整的含意是:工件在液體滲氮(或液體氮碳共滲)并采用氧化鹽浴冷卻后,對表面進行機械拋光或研磨,再經氧化鹽浴表面氧化處理的工藝過程。有的將QPQ處理稱為淬火—拋光—淬火處理,這種理解值得商榷。因為液體滲氮(或液體氮碳共滲)的溫度一般采用530~580℃,低于Fe-N相圖中的共析溫度(約590℃),加熱時不發生α─→γ的轉變過程,冷卻時也不發生γ→─M的轉變過程。
在拋光后再次經過氧化浴時,也只是拋光后的表面氧化過程。始終不發生淬火過程。
從QPQ處理的工藝過程可見,第一程序就是液體滲氮(或液體氮碳共滲),只不過是采用的冷卻方式必須是氧化鹽浴冷卻。第二程序是滲層表面拋光(或研磨),工件經過鹽浴處理后的表面不可避免地存在粗糙、多孔的顯微層,經過機械拋光或研磨后,改善了表面的光潔度,這時的耐腐蝕性能可能略有下降。第三程序是拋光后的工件表面在氧化鹽浴中受到氧化,這時的耐腐蝕性能顯著提高。
QPQ處理及其他不同的表面處理狀態在鹽霧試驗時的耐腐蝕效果見表7-11。
表7-11 不同表面狀態在鹽霧中耐腐蝕性能

由此可認為,QPQ處理所以得到廣泛應用,是由于其氮化(或氮碳共滲)并在氧化鹽浴中冷卻,可獲得高的表面硬度、耐磨性能、耐疲勞性能和拋光后再氧化獲得的高耐腐性能的優良效果。
1.QPQ處理工藝
如前所述,QPQ處理主要有以下過程。
(1)液體滲氮(或液體氮碳共滲)。液體滲氮或液體氮碳共滲工藝方法、效果及可能出現的缺陷參見本章液體氮碳共滲的有關內容。
(2)滲后冷卻。QPQ處理中滲氮或氮碳共滲工序中的冷卻方式必須采用氧化鹽浴冷卻。
氧化鹽是一種強堿性鹽,pH值為12~12.5,熔化后的鹽浴具有強烈的氧化性。
氧化鹽的熔點不大于300℃,使用溫度在350~400℃之間。
工件在氧化鹽浴中的保持時間,依據工件大小或多少控制在15~30min即可。
在氧化鹽浴中保持后,可依據工件的情況,采用空冷或水冷。
工件氧化后,在表面形成Fe3?O4薄膜。
(3)工件的表面拋光。液體滲氮或液體氮碳共滲后并經氧化鹽浴冷卻的工件,采用機械方法對表面進行拋光或研磨,將工件表面粗糙度提高至R?a0.09~0.15μm即可。
(4)氧化。經機械拋光或研磨后的工件放入氧化鹽浴中再氧化。
氧化鹽浴與氮化冷卻鹽浴相同,保持溫度在350~400℃,保持時間可短一些,一般在5~10min。
2.QPQ處理生產中的相關問題
要進行QPQ處理的工件,也應有預先的熱處理、滲氮(或氮碳共滲)前的表面清理、預熱、處理后的清洗、烘干和浸油的程序,這些程序的具體要求可參見本章液體氮碳共滲的相關內容。
同樣,不銹鋼PQP處理工藝參數及處理后可獲得的滲層效果可參見本章液體氮碳共滲的相關內容。













